|
Timestamp: |
03-Oct-2025 22:14:52 |
|
Host: |
runnervm3ublj |
|
Platform: |
glnxa64 |
|
MATLAB Version: |
25.1.0.2973910 (R2025a) Update 1 |
|
Number of Tests: |
16 |
|
Testing Time: |
285.3577 seconds |
|
Overall Result: |
PASSED |

/home/runner/work/Calculus-Derivatives/Calculus-Derivatives/SoftwareTests/
|
151.9213 seconds |
||
|
0.4651 seconds |
||
|
132.9713 seconds |
||
The test passed. Duration: 46.2356 seconds
Events:
Diagnostic logged.
|
Timestamp: 03-Oct-2025 22:10:35 Verbosity: Terse Logged Diagnostic: Figure saved to: --> /tmp/82d5ef81-215f-4f94-86c5-21ec0bc9abe6/Figure_46cd9402-8b6c-4abd-ac91-114e3467ce4d.png
Event Location: SmokeTests[Project=matlab.project.Project]/SmokeRun(File=CombinationRules.mlx) Stack: In /home/runner/work/Calculus-Derivatives/Calculus-Derivatives/SoftwareTests/SmokeTests.m (SmokeTests.SmokeRun) at 95 |
Diagnostic logged.
|
Timestamp: 03-Oct-2025 22:10:45 Verbosity: Terse Logged Diagnostic: Figure saved to: --> /tmp/82d5ef81-215f-4f94-86c5-21ec0bc9abe6/Figure_3cd92ed9-5c87-4ce3-a40e-a723b764cec9.png
Event Location: SmokeTests[Project=matlab.project.Project]/SmokeRun(File=CombinationRules.mlx) Stack: In /home/runner/work/Calculus-Derivatives/Calculus-Derivatives/SoftwareTests/SmokeTests.m (SmokeTests.SmokeRun) at 95 |
Diagnostic logged.
|
Timestamp: 03-Oct-2025 22:10:46 Verbosity: Terse Logged Diagnostic: Figure saved to: --> /tmp/82d5ef81-215f-4f94-86c5-21ec0bc9abe6/Figure_a53ea3b8-255a-4759-9204-38ac22595c19.png
Event Location: SmokeTests[Project=matlab.project.Project]/SmokeRun(File=CombinationRules.mlx) Stack: In /home/runner/work/Calculus-Derivatives/Calculus-Derivatives/SoftwareTests/SmokeTests.m (SmokeTests.SmokeRun) at 95 |
(Overview)
The test passed. Duration: 27.1889 seconds
Events:
Diagnostic logged.
|
Timestamp: 03-Oct-2025 22:11:00 Verbosity: Terse Logged Diagnostic: Figure saved to: --> /tmp/82d5ef81-215f-4f94-86c5-21ec0bc9abe6/Figure_0d958bdb-6000-47c2-a670-e9f16b89ab25.png
Event Location: SmokeTests[Project=matlab.project.Project]/SmokeRun(File=Definition.mlx) Stack: In /home/runner/work/Calculus-Derivatives/Calculus-Derivatives/SoftwareTests/SmokeTests.m (SmokeTests.SmokeRun) at 95 |
Diagnostic logged.
|
Timestamp: 03-Oct-2025 22:11:11 Verbosity: Terse Logged Diagnostic: Figure saved to: --> /tmp/82d5ef81-215f-4f94-86c5-21ec0bc9abe6/Figure_9047fef3-a181-4993-a48a-197f4dbc1931.png
Event Location: SmokeTests[Project=matlab.project.Project]/SmokeRun(File=Definition.mlx) Stack: In /home/runner/work/Calculus-Derivatives/Calculus-Derivatives/SoftwareTests/SmokeTests.m (SmokeTests.SmokeRun) at 95 |
Diagnostic logged.
|
Timestamp: 03-Oct-2025 22:11:11 Verbosity: Terse Logged Diagnostic: Figure saved to: --> /tmp/82d5ef81-215f-4f94-86c5-21ec0bc9abe6/Figure_254a07f1-c072-4244-8111-eba7f0179834.png
Event Location: SmokeTests[Project=matlab.project.Project]/SmokeRun(File=Definition.mlx) Stack: In /home/runner/work/Calculus-Derivatives/Calculus-Derivatives/SoftwareTests/SmokeTests.m (SmokeTests.SmokeRun) at 95 |
Diagnostic logged.
|
Timestamp: 03-Oct-2025 22:11:12 Verbosity: Terse Logged Diagnostic: Figure saved to: --> /tmp/82d5ef81-215f-4f94-86c5-21ec0bc9abe6/Figure_fdf8f788-bf58-4b9c-bc58-578666b3eb75.png
Event Location: SmokeTests[Project=matlab.project.Project]/SmokeRun(File=Definition.mlx) Stack: In /home/runner/work/Calculus-Derivatives/Calculus-Derivatives/SoftwareTests/SmokeTests.m (SmokeTests.SmokeRun) at 95 |
Diagnostic logged.
|
Timestamp: 03-Oct-2025 22:11:12 Verbosity: Terse Logged Diagnostic: Figure saved to: --> /tmp/82d5ef81-215f-4f94-86c5-21ec0bc9abe6/Figure_a19ab19e-14b2-4d5d-a1ea-e3bacff82a45.png
Event Location: SmokeTests[Project=matlab.project.Project]/SmokeRun(File=Definition.mlx) Stack: In /home/runner/work/Calculus-Derivatives/Calculus-Derivatives/SoftwareTests/SmokeTests.m (SmokeTests.SmokeRun) at 95 |
Diagnostic logged.
|
Timestamp: 03-Oct-2025 22:11:13 Verbosity: Terse Logged Diagnostic: Figure saved to: --> /tmp/82d5ef81-215f-4f94-86c5-21ec0bc9abe6/Figure_71243229-0736-4747-87fb-a101ca338835.png
Event Location: SmokeTests[Project=matlab.project.Project]/SmokeRun(File=Definition.mlx) Stack: In /home/runner/work/Calculus-Derivatives/Calculus-Derivatives/SoftwareTests/SmokeTests.m (SmokeTests.SmokeRun) at 95 |
Diagnostic logged.
|
Timestamp: 03-Oct-2025 22:11:13 Verbosity: Terse Logged Diagnostic: Figure saved to: --> /tmp/82d5ef81-215f-4f94-86c5-21ec0bc9abe6/Figure_0eb98f48-b714-4edf-8c0c-2d40b5ef9cec.png
Event Location: SmokeTests[Project=matlab.project.Project]/SmokeRun(File=Definition.mlx) Stack: In /home/runner/work/Calculus-Derivatives/Calculus-Derivatives/SoftwareTests/SmokeTests.m (SmokeTests.SmokeRun) at 95 |
Diagnostic logged.
|
Timestamp: 03-Oct-2025 22:11:14 Verbosity: Terse Logged Diagnostic: Figure saved to: --> /tmp/82d5ef81-215f-4f94-86c5-21ec0bc9abe6/Figure_194ce5d4-1e46-4c48-9475-7f7fed0cfc8a.png
Event Location: SmokeTests[Project=matlab.project.Project]/SmokeRun(File=Definition.mlx) Stack: In /home/runner/work/Calculus-Derivatives/Calculus-Derivatives/SoftwareTests/SmokeTests.m (SmokeTests.SmokeRun) at 95 |
(Overview)
The test passed. Duration: 9.0655 seconds
Events:
Diagnostic logged.
|
Timestamp: 03-Oct-2025 22:11:17 Verbosity: Terse Logged Diagnostic: Figure saved to: --> /tmp/82d5ef81-215f-4f94-86c5-21ec0bc9abe6/Figure_de8f1e71-a43b-4b17-96a9-cd38f871f888.png
Event Location: SmokeTests[Project=matlab.project.Project]/SmokeRun(File=PowerRules.mlx) Stack: In /home/runner/work/Calculus-Derivatives/Calculus-Derivatives/SoftwareTests/SmokeTests.m (SmokeTests.SmokeRun) at 95 |
Diagnostic logged.
|
Timestamp: 03-Oct-2025 22:11:23 Verbosity: Terse Logged Diagnostic: Figure saved to: --> /tmp/82d5ef81-215f-4f94-86c5-21ec0bc9abe6/Figure_b9f0a67c-e5c2-47c2-9944-c28536dcc394.png
Event Location: SmokeTests[Project=matlab.project.Project]/SmokeRun(File=PowerRules.mlx) Stack: In /home/runner/work/Calculus-Derivatives/Calculus-Derivatives/SoftwareTests/SmokeTests.m (SmokeTests.SmokeRun) at 95 |
(Overview)
The test passed. Duration: 12.2430 seconds
Event:
Diagnostic logged.
|
Timestamp: 03-Oct-2025 22:11:35 Verbosity: Terse Logged Diagnostic: Figure saved to: --> /tmp/82d5ef81-215f-4f94-86c5-21ec0bc9abe6/Figure_b943d1ff-2226-4d7f-b6b1-4d69c4b0280a.png
Event Location: SmokeTests[Project=matlab.project.Project]/SmokeRun(File=TaylorPolynomials.mlx) Stack: In /home/runner/work/Calculus-Derivatives/Calculus-Derivatives/SoftwareTests/SmokeTests.m (SmokeTests.SmokeRun) at 95 |
(Overview)
The test passed. Duration: 57.1883 seconds
Events:
Diagnostic logged.
|
Timestamp: 03-Oct-2025 22:11:59 Verbosity: Terse Logged Diagnostic: Figure saved to: --> /tmp/82d5ef81-215f-4f94-86c5-21ec0bc9abe6/Figure_668212f3-39f4-4f31-b775-5c2cd65155fc.png
Event Location: SmokeTests[Project=matlab.project.Project]/SmokeRun(File=TranscendentalsRules.mlx) Stack: In /home/runner/work/Calculus-Derivatives/Calculus-Derivatives/SoftwareTests/SmokeTests.m (SmokeTests.SmokeRun) at 95 |
Diagnostic logged.
|
Timestamp: 03-Oct-2025 22:12:26 Verbosity: Terse Logged Diagnostic: Figure saved to: --> /tmp/82d5ef81-215f-4f94-86c5-21ec0bc9abe6/Figure_ca805bee-4186-4a2a-b2c2-a683a3fd4495.png
Event Location: SmokeTests[Project=matlab.project.Project]/SmokeRun(File=TranscendentalsRules.mlx) Stack: In /home/runner/work/Calculus-Derivatives/Calculus-Derivatives/SoftwareTests/SmokeTests.m (SmokeTests.SmokeRun) at 95 |
Diagnostic logged.
|
Timestamp: 03-Oct-2025 22:12:26 Verbosity: Terse Logged Diagnostic: Figure saved to: --> /tmp/82d5ef81-215f-4f94-86c5-21ec0bc9abe6/Figure_6943a410-96d9-4975-9b6d-61fd557162f9.png
Event Location: SmokeTests[Project=matlab.project.Project]/SmokeRun(File=TranscendentalsRules.mlx) Stack: In /home/runner/work/Calculus-Derivatives/Calculus-Derivatives/SoftwareTests/SmokeTests.m (SmokeTests.SmokeRun) at 95 |
Diagnostic logged.
|
Timestamp: 03-Oct-2025 22:12:27 Verbosity: Terse Logged Diagnostic: Figure saved to: --> /tmp/82d5ef81-215f-4f94-86c5-21ec0bc9abe6/Figure_5cfc60e5-572b-4f99-b4b5-c3c8b04e1e20.png
Event Location: SmokeTests[Project=matlab.project.Project]/SmokeRun(File=TranscendentalsRules.mlx) Stack: In /home/runner/work/Calculus-Derivatives/Calculus-Derivatives/SoftwareTests/SmokeTests.m (SmokeTests.SmokeRun) at 95 |
Diagnostic logged.
|
Timestamp: 03-Oct-2025 22:12:27 Verbosity: Terse Logged Diagnostic: Figure saved to: --> /tmp/82d5ef81-215f-4f94-86c5-21ec0bc9abe6/Figure_36abf321-de8b-46a6-b1a5-76068fd8ed5f.png
Event Location: SmokeTests[Project=matlab.project.Project]/SmokeRun(File=TranscendentalsRules.mlx) Stack: In /home/runner/work/Calculus-Derivatives/Calculus-Derivatives/SoftwareTests/SmokeTests.m (SmokeTests.SmokeRun) at 95 |
Diagnostic logged.
|
Timestamp: 03-Oct-2025 22:12:28 Verbosity: Terse Logged Diagnostic: Figure saved to: --> /tmp/82d5ef81-215f-4f94-86c5-21ec0bc9abe6/Figure_38c9f7d2-2e2a-4c5d-81b0-46aaf782c453.png
Event Location: SmokeTests[Project=matlab.project.Project]/SmokeRun(File=TranscendentalsRules.mlx) Stack: In /home/runner/work/Calculus-Derivatives/Calculus-Derivatives/SoftwareTests/SmokeTests.m (SmokeTests.SmokeRun) at 95 |
Diagnostic logged.
|
Timestamp: 03-Oct-2025 22:12:28 Verbosity: Terse Logged Diagnostic: Figure saved to: --> /tmp/82d5ef81-215f-4f94-86c5-21ec0bc9abe6/Figure_4a424e77-7430-4d16-b755-d0df4fda58f2.png
Event Location: SmokeTests[Project=matlab.project.Project]/SmokeRun(File=TranscendentalsRules.mlx) Stack: In /home/runner/work/Calculus-Derivatives/Calculus-Derivatives/SoftwareTests/SmokeTests.m (SmokeTests.SmokeRun) at 95 |
Diagnostic logged.
|
Timestamp: 03-Oct-2025 22:12:29 Verbosity: Terse Logged Diagnostic: Figure saved to: --> /tmp/82d5ef81-215f-4f94-86c5-21ec0bc9abe6/Figure_96757fef-b95f-4630-95b9-84b39d5b9802.png
Event Location: SmokeTests[Project=matlab.project.Project]/SmokeRun(File=TranscendentalsRules.mlx) Stack: In /home/runner/work/Calculus-Derivatives/Calculus-Derivatives/SoftwareTests/SmokeTests.m (SmokeTests.SmokeRun) at 95 |
Diagnostic logged.
|
Timestamp: 03-Oct-2025 22:12:29 Verbosity: Terse Logged Diagnostic: Figure saved to: --> /tmp/82d5ef81-215f-4f94-86c5-21ec0bc9abe6/Figure_57c2480e-87fb-4fe2-b828-5a77bd325c1f.png
Event Location: SmokeTests[Project=matlab.project.Project]/SmokeRun(File=TranscendentalsRules.mlx) Stack: In /home/runner/work/Calculus-Derivatives/Calculus-Derivatives/SoftwareTests/SmokeTests.m (SmokeTests.SmokeRun) at 95 |
Diagnostic logged.
|
Timestamp: 03-Oct-2025 22:12:30 Verbosity: Terse Logged Diagnostic: Figure saved to: --> /tmp/82d5ef81-215f-4f94-86c5-21ec0bc9abe6/Figure_25027bcc-6791-46fe-977a-6f9829d15f61.png
Event Location: SmokeTests[Project=matlab.project.Project]/SmokeRun(File=TranscendentalsRules.mlx) Stack: In /home/runner/work/Calculus-Derivatives/Calculus-Derivatives/SoftwareTests/SmokeTests.m (SmokeTests.SmokeRun) at 95 |
Diagnostic logged.
|
Timestamp: 03-Oct-2025 22:12:30 Verbosity: Terse Logged Diagnostic: Figure saved to: --> /tmp/82d5ef81-215f-4f94-86c5-21ec0bc9abe6/Figure_21802085-2117-4ec2-8c98-894645d60a43.png
Event Location: SmokeTests[Project=matlab.project.Project]/SmokeRun(File=TranscendentalsRules.mlx) Stack: In /home/runner/work/Calculus-Derivatives/Calculus-Derivatives/SoftwareTests/SmokeTests.m (SmokeTests.SmokeRun) at 95 |
Diagnostic logged.
|
Timestamp: 03-Oct-2025 22:12:30 Verbosity: Terse Logged Diagnostic: Figure saved to: --> /tmp/82d5ef81-215f-4f94-86c5-21ec0bc9abe6/Figure_681bf457-8af1-49a9-8ec8-c6f4dc73b1fa.png
Event Location: SmokeTests[Project=matlab.project.Project]/SmokeRun(File=TranscendentalsRules.mlx) Stack: In /home/runner/work/Calculus-Derivatives/Calculus-Derivatives/SoftwareTests/SmokeTests.m (SmokeTests.SmokeRun) at 95 |
Diagnostic logged.
|
Timestamp: 03-Oct-2025 22:12:31 Verbosity: Terse Logged Diagnostic: Figure saved to: --> /tmp/82d5ef81-215f-4f94-86c5-21ec0bc9abe6/Figure_de317411-9be8-48b0-af11-61ebb631aa84.png
Event Location: SmokeTests[Project=matlab.project.Project]/SmokeRun(File=TranscendentalsRules.mlx) Stack: In /home/runner/work/Calculus-Derivatives/Calculus-Derivatives/SoftwareTests/SmokeTests.m (SmokeTests.SmokeRun) at 95 |
Diagnostic logged.
|
Timestamp: 03-Oct-2025 22:12:31 Verbosity: Terse Logged Diagnostic: Figure saved to: --> /tmp/82d5ef81-215f-4f94-86c5-21ec0bc9abe6/Figure_a6db1505-3337-4a38-8889-7b17ec803cbb.png
Event Location: SmokeTests[Project=matlab.project.Project]/SmokeRun(File=TranscendentalsRules.mlx) Stack: In /home/runner/work/Calculus-Derivatives/Calculus-Derivatives/SoftwareTests/SmokeTests.m (SmokeTests.SmokeRun) at 95 |
Diagnostic logged.
|
Timestamp: 03-Oct-2025 22:12:32 Verbosity: Terse Logged Diagnostic: Figure saved to: --> /tmp/82d5ef81-215f-4f94-86c5-21ec0bc9abe6/Figure_0c8072b1-3360-469f-8e5c-e59b5f1a76e5.png
Event Location: SmokeTests[Project=matlab.project.Project]/SmokeRun(File=TranscendentalsRules.mlx) Stack: In /home/runner/work/Calculus-Derivatives/Calculus-Derivatives/SoftwareTests/SmokeTests.m (SmokeTests.SmokeRun) at 95 |
(Overview)
The test passed. Duration: 0.4651 seconds
Event:
Verification passed.
|
Framework Diagnostic: verifyTrue passed. Actual Value: logical 1 Event Location: FunctionTests/RunShowTaylor Stack: In /home/runner/work/Calculus-Derivatives/Calculus-Derivatives/SoftwareTests/FunctionTests.m (FunctionTests.RunShowTaylor) at 15 |
(Overview)
The test passed. Duration: 0.0757 seconds
(Overview)
The test passed. Duration: 0.0066 seconds
(Overview)
The test passed. Duration: 0.0065 seconds
(Overview)
The test passed. Duration: 0.0058 seconds
(Overview)
The test passed. Duration: 0.0082 seconds
(Overview)
The test passed. Duration: 28.6148 seconds
Events:
Diagnostic logged.
|
Timestamp: 03-Oct-2025 22:12:53 Verbosity: Terse Logged Diagnostic: Figure saved to: --> /tmp/82d5ef81-215f-4f94-86c5-21ec0bc9abe6/Figure_fd842d91-9ee2-47a7-87be-c1a24f72b490.png
Event Location: SolnSmokeTests[Project=matlab.project.Project]/SmokeRun(File=CombinationRules.mlx) Stack: In /home/runner/work/Calculus-Derivatives/Calculus-Derivatives/SoftwareTests/SolnSmokeTests.m (SolnSmokeTests.SmokeRun) at 111 |
Diagnostic logged.
|
Timestamp: 03-Oct-2025 22:13:01 Verbosity: Terse Logged Diagnostic: Figure saved to: --> /tmp/82d5ef81-215f-4f94-86c5-21ec0bc9abe6/Figure_0b023ae4-25d2-4c4e-baaf-aab9972c595c.png
Event Location: SolnSmokeTests[Project=matlab.project.Project]/SmokeRun(File=CombinationRules.mlx) Stack: In /home/runner/work/Calculus-Derivatives/Calculus-Derivatives/SoftwareTests/SolnSmokeTests.m (SolnSmokeTests.SmokeRun) at 111 |
Diagnostic logged.
|
Timestamp: 03-Oct-2025 22:13:01 Verbosity: Terse Logged Diagnostic: Figure saved to: --> /tmp/82d5ef81-215f-4f94-86c5-21ec0bc9abe6/Figure_a0d55e08-41d0-47cf-b799-b52332bf72eb.png
Event Location: SolnSmokeTests[Project=matlab.project.Project]/SmokeRun(File=CombinationRules.mlx) Stack: In /home/runner/work/Calculus-Derivatives/Calculus-Derivatives/SoftwareTests/SolnSmokeTests.m (SolnSmokeTests.SmokeRun) at 111 |
Diagnostic logged.
|
Timestamp: 03-Oct-2025 22:13:02 Verbosity: Terse Logged Diagnostic: Figure saved to: --> /tmp/82d5ef81-215f-4f94-86c5-21ec0bc9abe6/Figure_91d019eb-7fb3-436b-a215-e1c33591389d.png
Event Location: SolnSmokeTests[Project=matlab.project.Project]/SmokeRun(File=CombinationRules.mlx) Stack: In /home/runner/work/Calculus-Derivatives/Calculus-Derivatives/SoftwareTests/SolnSmokeTests.m (SolnSmokeTests.SmokeRun) at 111 |
(Overview)
The test passed. Duration: 22.6644 seconds
Events:
Diagnostic logged.
|
Timestamp: 03-Oct-2025 22:13:12 Verbosity: Terse Logged Diagnostic: Figure saved to: --> /tmp/82d5ef81-215f-4f94-86c5-21ec0bc9abe6/Figure_91ea7b63-24be-4ab5-9fb7-fdaa6c4d3b3b.png
Event Location: SolnSmokeTests[Project=matlab.project.Project]/SmokeRun(File=Definition.mlx) Stack: In /home/runner/work/Calculus-Derivatives/Calculus-Derivatives/SoftwareTests/SolnSmokeTests.m (SolnSmokeTests.SmokeRun) at 111 |
Diagnostic logged.
|
Timestamp: 03-Oct-2025 22:13:22 Verbosity: Terse Logged Diagnostic: Figure saved to: --> /tmp/82d5ef81-215f-4f94-86c5-21ec0bc9abe6/Figure_9dbae59e-f0cd-4572-8fef-a82e6e4a71cc.png
Event Location: SolnSmokeTests[Project=matlab.project.Project]/SmokeRun(File=Definition.mlx) Stack: In /home/runner/work/Calculus-Derivatives/Calculus-Derivatives/SoftwareTests/SolnSmokeTests.m (SolnSmokeTests.SmokeRun) at 111 |
Diagnostic logged.
|
Timestamp: 03-Oct-2025 22:13:22 Verbosity: Terse Logged Diagnostic: Figure saved to: --> /tmp/82d5ef81-215f-4f94-86c5-21ec0bc9abe6/Figure_2f6fcd81-517b-475d-8f70-e2382c31aa9e.png
Event Location: SolnSmokeTests[Project=matlab.project.Project]/SmokeRun(File=Definition.mlx) Stack: In /home/runner/work/Calculus-Derivatives/Calculus-Derivatives/SoftwareTests/SolnSmokeTests.m (SolnSmokeTests.SmokeRun) at 111 |
Diagnostic logged.
|
Timestamp: 03-Oct-2025 22:13:22 Verbosity: Terse Logged Diagnostic: Figure saved to: --> /tmp/82d5ef81-215f-4f94-86c5-21ec0bc9abe6/Figure_9797ae72-0042-4168-bb52-7725843ff3f7.png
Event Location: SolnSmokeTests[Project=matlab.project.Project]/SmokeRun(File=Definition.mlx) Stack: In /home/runner/work/Calculus-Derivatives/Calculus-Derivatives/SoftwareTests/SolnSmokeTests.m (SolnSmokeTests.SmokeRun) at 111 |
Diagnostic logged.
|
Timestamp: 03-Oct-2025 22:13:23 Verbosity: Terse Logged Diagnostic: Figure saved to: --> /tmp/82d5ef81-215f-4f94-86c5-21ec0bc9abe6/Figure_f9ad8138-2f8d-47bd-846d-6b188f0cdccd.png
Event Location: SolnSmokeTests[Project=matlab.project.Project]/SmokeRun(File=Definition.mlx) Stack: In /home/runner/work/Calculus-Derivatives/Calculus-Derivatives/SoftwareTests/SolnSmokeTests.m (SolnSmokeTests.SmokeRun) at 111 |
Diagnostic logged.
|
Timestamp: 03-Oct-2025 22:13:23 Verbosity: Terse Logged Diagnostic: Figure saved to: --> /tmp/82d5ef81-215f-4f94-86c5-21ec0bc9abe6/Figure_385547fd-adb1-4101-95ab-bc7c8b388e9d.png
Event Location: SolnSmokeTests[Project=matlab.project.Project]/SmokeRun(File=Definition.mlx) Stack: In /home/runner/work/Calculus-Derivatives/Calculus-Derivatives/SoftwareTests/SolnSmokeTests.m (SolnSmokeTests.SmokeRun) at 111 |
Diagnostic logged.
|
Timestamp: 03-Oct-2025 22:13:24 Verbosity: Terse Logged Diagnostic: Figure saved to: --> /tmp/82d5ef81-215f-4f94-86c5-21ec0bc9abe6/Figure_e8500805-3774-49f5-9641-3a48d875aa8c.png
Event Location: SolnSmokeTests[Project=matlab.project.Project]/SmokeRun(File=Definition.mlx) Stack: In /home/runner/work/Calculus-Derivatives/Calculus-Derivatives/SoftwareTests/SolnSmokeTests.m (SolnSmokeTests.SmokeRun) at 111 |
Diagnostic logged.
|
Timestamp: 03-Oct-2025 22:13:24 Verbosity: Terse Logged Diagnostic: Figure saved to: --> /tmp/82d5ef81-215f-4f94-86c5-21ec0bc9abe6/Figure_14dbf651-e961-4574-9039-4903c38304f9.png
Event Location: SolnSmokeTests[Project=matlab.project.Project]/SmokeRun(File=Definition.mlx) Stack: In /home/runner/work/Calculus-Derivatives/Calculus-Derivatives/SoftwareTests/SolnSmokeTests.m (SolnSmokeTests.SmokeRun) at 111 |
(Overview)
The test passed. Duration: 7.8791 seconds
Events:
Diagnostic logged.
|
Timestamp: 03-Oct-2025 22:13:27 Verbosity: Terse Logged Diagnostic: Figure saved to: --> /tmp/82d5ef81-215f-4f94-86c5-21ec0bc9abe6/Figure_cefe4057-4998-411b-a1e1-e03686c06ccc.png
Event Location: SolnSmokeTests[Project=matlab.project.Project]/SmokeRun(File=PowerRules.mlx) Stack: In /home/runner/work/Calculus-Derivatives/Calculus-Derivatives/SoftwareTests/SolnSmokeTests.m (SolnSmokeTests.SmokeRun) at 111 |
Diagnostic logged.
|
Timestamp: 03-Oct-2025 22:13:33 Verbosity: Terse Logged Diagnostic: Figure saved to: --> /tmp/82d5ef81-215f-4f94-86c5-21ec0bc9abe6/Figure_2687feec-62f9-44cd-a12b-82df1d3186dc.png
Event Location: SolnSmokeTests[Project=matlab.project.Project]/SmokeRun(File=PowerRules.mlx) Stack: In /home/runner/work/Calculus-Derivatives/Calculus-Derivatives/SoftwareTests/SolnSmokeTests.m (SolnSmokeTests.SmokeRun) at 111 |
(Overview)
The test passed. Duration: 11.0970 seconds
Event:
Diagnostic logged.
|
Timestamp: 03-Oct-2025 22:13:44 Verbosity: Terse Logged Diagnostic: Figure saved to: --> /tmp/82d5ef81-215f-4f94-86c5-21ec0bc9abe6/Figure_0a9fea17-3376-40b6-8f14-7458d265c6f8.png
Event Location: SolnSmokeTests[Project=matlab.project.Project]/SmokeRun(File=TaylorPolynomials.mlx) Stack: In /home/runner/work/Calculus-Derivatives/Calculus-Derivatives/SoftwareTests/SolnSmokeTests.m (SolnSmokeTests.SmokeRun) at 111 |
(Overview)
The test passed. Duration: 62.6131 seconds
Events:
Diagnostic logged.
|
Timestamp: 03-Oct-2025 22:14:33 Verbosity: Terse Logged Diagnostic: Figure saved to: --> /tmp/82d5ef81-215f-4f94-86c5-21ec0bc9abe6/Figure_813b0b0e-ff45-44aa-8a9f-e4fd9d501c28.png
Event Location: SolnSmokeTests[Project=matlab.project.Project]/SmokeRun(File=TranscendentalsRules.mlx) Stack: In /home/runner/work/Calculus-Derivatives/Calculus-Derivatives/SoftwareTests/SolnSmokeTests.m (SolnSmokeTests.SmokeRun) at 111 |
Diagnostic logged.
|
Timestamp: 03-Oct-2025 22:14:38 Verbosity: Terse Logged Diagnostic: Figure saved to: --> /tmp/82d5ef81-215f-4f94-86c5-21ec0bc9abe6/Figure_5e0ffe2a-3949-4c82-bd01-9e06c6a98bbe.png
Event Location: SolnSmokeTests[Project=matlab.project.Project]/SmokeRun(File=TranscendentalsRules.mlx) Stack: In /home/runner/work/Calculus-Derivatives/Calculus-Derivatives/SoftwareTests/SolnSmokeTests.m (SolnSmokeTests.SmokeRun) at 111 |
Diagnostic logged.
|
Timestamp: 03-Oct-2025 22:14:39 Verbosity: Terse Logged Diagnostic: Figure saved to: --> /tmp/82d5ef81-215f-4f94-86c5-21ec0bc9abe6/Figure_32aa9fee-d75b-4139-921f-f623ef9b0c0e.png
Event Location: SolnSmokeTests[Project=matlab.project.Project]/SmokeRun(File=TranscendentalsRules.mlx) Stack: In /home/runner/work/Calculus-Derivatives/Calculus-Derivatives/SoftwareTests/SolnSmokeTests.m (SolnSmokeTests.SmokeRun) at 111 |
Diagnostic logged.
|
Timestamp: 03-Oct-2025 22:14:39 Verbosity: Terse Logged Diagnostic: Figure saved to: --> /tmp/82d5ef81-215f-4f94-86c5-21ec0bc9abe6/Figure_1656f75d-8f05-4dde-8aae-964c97963ec2.png
Event Location: SolnSmokeTests[Project=matlab.project.Project]/SmokeRun(File=TranscendentalsRules.mlx) Stack: In /home/runner/work/Calculus-Derivatives/Calculus-Derivatives/SoftwareTests/SolnSmokeTests.m (SolnSmokeTests.SmokeRun) at 111 |
Diagnostic logged.
|
Timestamp: 03-Oct-2025 22:14:40 Verbosity: Terse Logged Diagnostic: Figure saved to: --> /tmp/82d5ef81-215f-4f94-86c5-21ec0bc9abe6/Figure_6b7db820-235a-441d-8c10-3718ccccddcf.png
Event Location: SolnSmokeTests[Project=matlab.project.Project]/SmokeRun(File=TranscendentalsRules.mlx) Stack: In /home/runner/work/Calculus-Derivatives/Calculus-Derivatives/SoftwareTests/SolnSmokeTests.m (SolnSmokeTests.SmokeRun) at 111 |
Diagnostic logged.
|
Timestamp: 03-Oct-2025 22:14:40 Verbosity: Terse Logged Diagnostic: Figure saved to: --> /tmp/82d5ef81-215f-4f94-86c5-21ec0bc9abe6/Figure_1839dad1-0752-419a-9672-30b528853d06.png
Event Location: SolnSmokeTests[Project=matlab.project.Project]/SmokeRun(File=TranscendentalsRules.mlx) Stack: In /home/runner/work/Calculus-Derivatives/Calculus-Derivatives/SoftwareTests/SolnSmokeTests.m (SolnSmokeTests.SmokeRun) at 111 |
Diagnostic logged.
|
Timestamp: 03-Oct-2025 22:14:41 Verbosity: Terse Logged Diagnostic: Figure saved to: --> /tmp/82d5ef81-215f-4f94-86c5-21ec0bc9abe6/Figure_aa12aeb9-b819-486f-8159-e88f9188401e.png
Event Location: SolnSmokeTests[Project=matlab.project.Project]/SmokeRun(File=TranscendentalsRules.mlx) Stack: In /home/runner/work/Calculus-Derivatives/Calculus-Derivatives/SoftwareTests/SolnSmokeTests.m (SolnSmokeTests.SmokeRun) at 111 |
Diagnostic logged.
|
Timestamp: 03-Oct-2025 22:14:41 Verbosity: Terse Logged Diagnostic: Figure saved to: --> /tmp/82d5ef81-215f-4f94-86c5-21ec0bc9abe6/Figure_8be480bf-bbc2-495b-bfcd-f30f912f26ad.png
Event Location: SolnSmokeTests[Project=matlab.project.Project]/SmokeRun(File=TranscendentalsRules.mlx) Stack: In /home/runner/work/Calculus-Derivatives/Calculus-Derivatives/SoftwareTests/SolnSmokeTests.m (SolnSmokeTests.SmokeRun) at 111 |
Diagnostic logged.
|
Timestamp: 03-Oct-2025 22:14:42 Verbosity: Terse Logged Diagnostic: Figure saved to: --> /tmp/82d5ef81-215f-4f94-86c5-21ec0bc9abe6/Figure_29b1dbb6-b9e7-4e96-a125-70bcf6058dea.png
Event Location: SolnSmokeTests[Project=matlab.project.Project]/SmokeRun(File=TranscendentalsRules.mlx) Stack: In /home/runner/work/Calculus-Derivatives/Calculus-Derivatives/SoftwareTests/SolnSmokeTests.m (SolnSmokeTests.SmokeRun) at 111 |
Diagnostic logged.
|
Timestamp: 03-Oct-2025 22:14:42 Verbosity: Terse Logged Diagnostic: Figure saved to: --> /tmp/82d5ef81-215f-4f94-86c5-21ec0bc9abe6/Figure_ef36a253-d8c6-4c55-8b54-f496bd0b3357.png
Event Location: SolnSmokeTests[Project=matlab.project.Project]/SmokeRun(File=TranscendentalsRules.mlx) Stack: In /home/runner/work/Calculus-Derivatives/Calculus-Derivatives/SoftwareTests/SolnSmokeTests.m (SolnSmokeTests.SmokeRun) at 111 |
Diagnostic logged.
|
Timestamp: 03-Oct-2025 22:14:43 Verbosity: Terse Logged Diagnostic: Figure saved to: --> /tmp/82d5ef81-215f-4f94-86c5-21ec0bc9abe6/Figure_af41b76a-99de-4e61-9443-1daa9fd76344.png
Event Location: SolnSmokeTests[Project=matlab.project.Project]/SmokeRun(File=TranscendentalsRules.mlx) Stack: In /home/runner/work/Calculus-Derivatives/Calculus-Derivatives/SoftwareTests/SolnSmokeTests.m (SolnSmokeTests.SmokeRun) at 111 |
Diagnostic logged.
|
Timestamp: 03-Oct-2025 22:14:43 Verbosity: Terse Logged Diagnostic: Figure saved to: --> /tmp/82d5ef81-215f-4f94-86c5-21ec0bc9abe6/Figure_b4990446-a1e9-45d8-8895-366c9d7a1b87.png
Event Location: SolnSmokeTests[Project=matlab.project.Project]/SmokeRun(File=TranscendentalsRules.mlx) Stack: In /home/runner/work/Calculus-Derivatives/Calculus-Derivatives/SoftwareTests/SolnSmokeTests.m (SolnSmokeTests.SmokeRun) at 111 |
Diagnostic logged.
|
Timestamp: 03-Oct-2025 22:14:44 Verbosity: Terse Logged Diagnostic: Figure saved to: --> /tmp/82d5ef81-215f-4f94-86c5-21ec0bc9abe6/Figure_0faadc3e-737d-44cd-a2ea-fd41357a521b.png
Event Location: SolnSmokeTests[Project=matlab.project.Project]/SmokeRun(File=TranscendentalsRules.mlx) Stack: In /home/runner/work/Calculus-Derivatives/Calculus-Derivatives/SoftwareTests/SolnSmokeTests.m (SolnSmokeTests.SmokeRun) at 111 |
Diagnostic logged.
|
Timestamp: 03-Oct-2025 22:14:44 Verbosity: Terse Logged Diagnostic: Figure saved to: --> /tmp/82d5ef81-215f-4f94-86c5-21ec0bc9abe6/Figure_bf1aa7e0-47f9-4607-87f1-5df1e2d2772f.png
Event Location: SolnSmokeTests[Project=matlab.project.Project]/SmokeRun(File=TranscendentalsRules.mlx) Stack: In /home/runner/work/Calculus-Derivatives/Calculus-Derivatives/SoftwareTests/SolnSmokeTests.m (SolnSmokeTests.SmokeRun) at 111 |
Diagnostic logged.
|
Timestamp: 03-Oct-2025 22:14:45 Verbosity: Terse Logged Diagnostic: Figure saved to: --> /tmp/82d5ef81-215f-4f94-86c5-21ec0bc9abe6/Figure_fa704f47-1b25-4f26-825d-e604c861b0de.png
Event Location: SolnSmokeTests[Project=matlab.project.Project]/SmokeRun(File=TranscendentalsRules.mlx) Stack: In /home/runner/work/Calculus-Derivatives/Calculus-Derivatives/SoftwareTests/SolnSmokeTests.m (SolnSmokeTests.SmokeRun) at 111 |
Diagnostic logged.
|
Timestamp: 03-Oct-2025 22:14:45 Verbosity: Terse Logged Diagnostic: Figure saved to: --> /tmp/82d5ef81-215f-4f94-86c5-21ec0bc9abe6/Figure_783a82d6-d174-4615-ab70-fd3a604c7229.png
Event Location: SolnSmokeTests[Project=matlab.project.Project]/SmokeRun(File=TranscendentalsRules.mlx) Stack: In /home/runner/work/Calculus-Derivatives/Calculus-Derivatives/SoftwareTests/SolnSmokeTests.m (SolnSmokeTests.SmokeRun) at 111 |
Diagnostic logged.
|
Timestamp: 03-Oct-2025 22:14:45 Verbosity: Terse Logged Diagnostic: Figure saved to: --> /tmp/82d5ef81-215f-4f94-86c5-21ec0bc9abe6/Figure_6a155a57-e38a-443e-886b-2d8170c5a383.png
Event Location: SolnSmokeTests[Project=matlab.project.Project]/SmokeRun(File=TranscendentalsRules.mlx) Stack: In /home/runner/work/Calculus-Derivatives/Calculus-Derivatives/SoftwareTests/SolnSmokeTests.m (SolnSmokeTests.SmokeRun) at 111 |
(Overview)
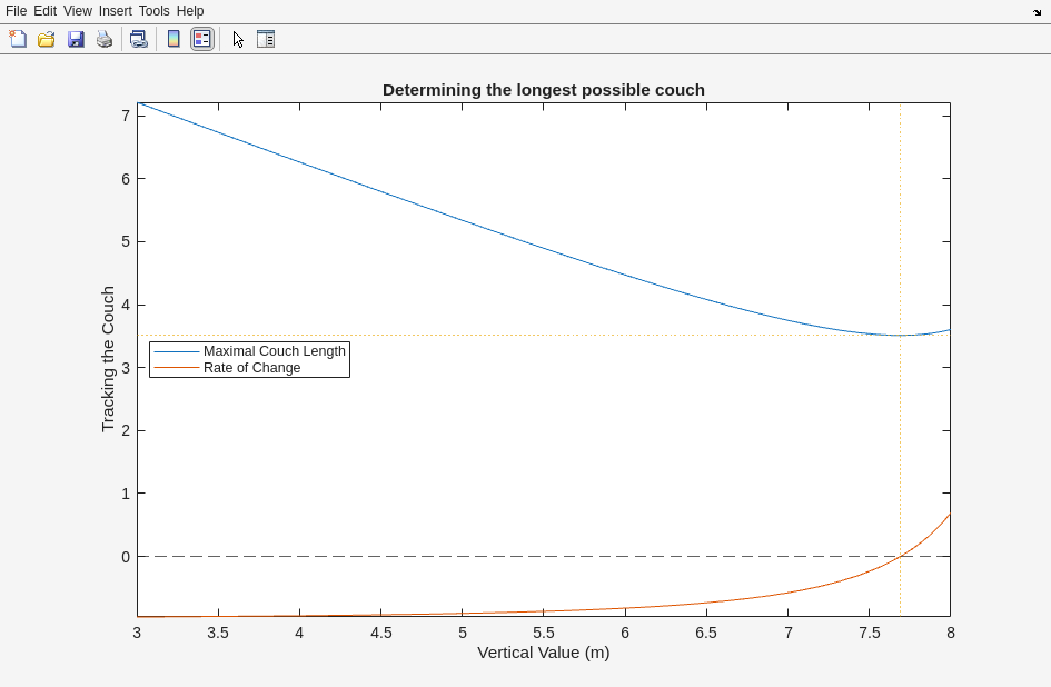
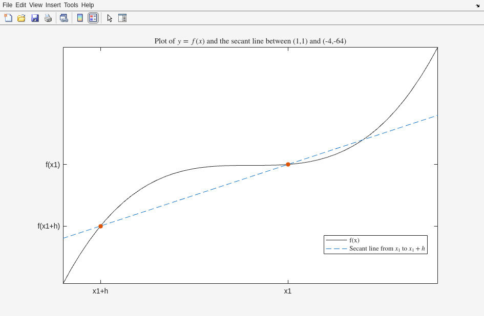
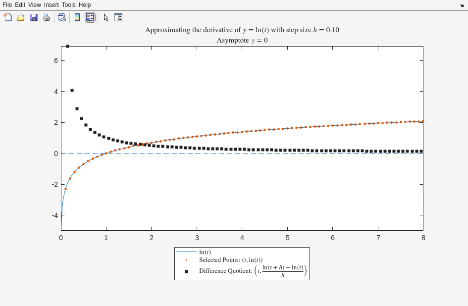
Running SmokeTests >> Running CombinationRules.mlx The original functions are: f(x) == x^3 g(x) == - (2*x)/5 + 2 Combining the functions through composition: f(g(x)) == -((2*x)/5 - 2)^3 Therefore, g(-5) == 4 and f(g(-5)) == 64 The answer to Exercise 1.1 is: omega(t) == -theta_0*sin(t*(g/L)^(1/2))*(g/L)^(1/2) The answer to Exercise 1.2 is: t_0 == (pi/(g/L)^(1/2))*[s] theta(t_0) == -theta_0 The pendulum will stop at the same angle that it was released from, but on the other side! Any time the pendulum reaches this angle (the maximum angle), it should be at rest. The answer to Exercise 1.3 is: alpha(t) == -(g*theta_0*cos(t*(g/L)^(1/2)))/L Exercise 2.1. Is incorrect. Exercise 2.2. Is incorrect. Try simplifying before you compute the derivative. Remember that your answer should be exact. Exercise 2.3. Is incorrect. Remember to apply the chain rule: dr/dt == (dr/(d*theta))*((d*theta)/dt) Values initialized for Chain Rule Practice. Take the derivative with respect to: z of the function f(z) == 3*cos(sin(5*z - 4)) When simplified, MyAnswer is: r That is incorrect. The correct answer is: df/dz == -15*sin(sin(5*z - 4))*cos(5*z - 4) Please try again with a new problem. The overall success rate is 0% on a single problem. Please do at least five problems. Values initialized for Product Rule Practice. Take the derivative with respect to: z of the function f(z) == -(10*log(z))/z^(5/2) When simplified, MyAnswer is: r That is incorrect. The correct answer is: df/dz == (25*log(z))/z^(7/2) - 10/z^(7/2) Please try again with a new problem. The overall success rate is 0% on a single problem. Please do at least five problems. Values initialized for Mixed Derivative Practice. Remember that exp(x) is the notation for e^x in MATLAB. Take the derivative with respect to: t of the function f(t) == 2*sin(8*exp(2*t)) When simplified, MyAnswer is: r That is incorrect. The correct answer is: df/dt == 32*exp(2*t)*cos(8*exp(2*t)) Please try again with a new problem. My overall success rate is 0.0% on 1 total problems Breaking down by type: Simple derivatives: 0 problem(s) of which 0.0% were wrong. Product Rule derivatives: 0 problem(s) of which 0.0% were wrong. Chain Rule derivatives: 1 problem(s) of which 100.0% were wrong. It is probably a good idea to keep practicing. Can you get 5 problems right of each type? [Terse] Diagnostic logged (2025-10-03 22:10:35): Figure saved to: --> /tmp/82d5ef81-215f-4f94-86c5-21ec0bc9abe6/Figure_46cd9402-8b6c-4abd-ac91-114e3467ce4d.png [Terse] Diagnostic logged (2025-10-03 22:10:45): Figure saved to: --> /tmp/82d5ef81-215f-4f94-86c5-21ec0bc9abe6/Figure_3cd92ed9-5c87-4ce3-a40e-a723b764cec9.png [Terse] Diagnostic logged (2025-10-03 22:10:46): Figure saved to: --> /tmp/82d5ef81-215f-4f94-86c5-21ec0bc9abe6/Figure_a53ea3b8-255a-4759-9204-38ac22595c19.png .>> Running Definition.mlx Observe the fact that the minimal value of the maximal couch length occurs when the rate of change of the maximal couch length is 0. f(x) = x^3 h == -5 f(x_1 + h) - f(x_1) == f(-4) - f(1) f(x_1 + h) - f(x_1) == (-64) - 1 (f(x_1 + h) - f(x_1))/h == 13 g(x) = exp(x)*cos(x) + x^2 This is the default value. The slope is not undefined here. What is it? Please select a value between -5 and 5. Please select a value between -5 and 5. Please select a value between -5 and 5. Please select a value between -5 and 5. Please select a value between -5 and 5. Please select a value between -5 and 5. Please select values between -5 and 5. [Terse] Diagnostic logged (2025-10-03 22:11:00): Figure saved to: --> /tmp/82d5ef81-215f-4f94-86c5-21ec0bc9abe6/Figure_0d958bdb-6000-47c2-a670-e9f16b89ab25.png [Terse] Diagnostic logged (2025-10-03 22:11:11): Figure saved to: --> /tmp/82d5ef81-215f-4f94-86c5-21ec0bc9abe6/Figure_9047fef3-a181-4993-a48a-197f4dbc1931.png [Terse] Diagnostic logged (2025-10-03 22:11:11): Figure saved to: --> /tmp/82d5ef81-215f-4f94-86c5-21ec0bc9abe6/Figure_254a07f1-c072-4244-8111-eba7f0179834.png [Terse] Diagnostic logged (2025-10-03 22:11:12): Figure saved to: --> /tmp/82d5ef81-215f-4f94-86c5-21ec0bc9abe6/Figure_fdf8f788-bf58-4b9c-bc58-578666b3eb75.png [Terse] Diagnostic logged (2025-10-03 22:11:12): Figure saved to: --> /tmp/82d5ef81-215f-4f94-86c5-21ec0bc9abe6/Figure_a19ab19e-14b2-4d5d-a1ea-e3bacff82a45.png [Terse] Diagnostic logged (2025-10-03 22:11:13): Figure saved to: --> /tmp/82d5ef81-215f-4f94-86c5-21ec0bc9abe6/Figure_71243229-0736-4747-87fb-a101ca338835.png [Terse] Diagnostic logged (2025-10-03 22:11:13): Figure saved to: --> /tmp/82d5ef81-215f-4f94-86c5-21ec0bc9abe6/Figure_0eb98f48-b714-4edf-8c0c-2d40b5ef9cec.png [Terse] Diagnostic logged (2025-10-03 22:11:14): Figure saved to: --> /tmp/82d5ef81-215f-4f94-86c5-21ec0bc9abe6/Figure_194ce5d4-1e46-4c48-9475-7f7fed0cfc8a.png .>> Running PowerRules.mlx My answer is: dy/dx == x^3 That is incorrect. Please try again. n = 6 f(x + h) == (h + x)^6 f(x + h) == 6*h*x^5 + 6*h^5*x + h^6 + x^6 + 15*h^2*x^4 + 20*h^3*x^3 + 15*h^4*x^2 (f(x + h) - f(x))/h == (6*h*x^5 + 6*h^5*x + h^6 + 15*h^2*x^4 + 20*h^3*x^3 + 15*h^4*x^2)/h (f(x + h) - f(x))/h == 15*h*x^4 + 6*h^4*x + h^5 + 6*x^5 + 20*h^2*x^3 + 15*h^3*x^2 df/dx == limit((f(x + h) - f(x))/h, h, 0) df/dx == limit(15*h*x^4 + 6*h^4*x + h^5 + 6*x^5 + 20*h^2*x^3 + 15*h^3*x^2, h, 0) df/dx == 6*x^5 No, that isn't correct. Please try again. n = 0.5000 order = 5 f(x) = x^(1/2) f(x + h) == - h/(8*x^(3/2)) + 1/(2*x^(1/2)) + h^2/(16*x^(5/2)) - (5*h^3)/(128*x^(7/2)) df/dx == limit((f(x + h) - f(x))/h, h, 0) df/dx == limit(- h/(8*x^(3/2)) + 1/(2*x^(1/2)) + h^2/(16*x^(5/2)) - (5*h^3)/(128*x^(7/2)), h, 0) df/dx == 1/(2*x^(1/2)) On Earth the acceleration due to gravity is 9.81m/s^2. [Warning: The derivative should be a linear function.] [> In PowerRules>CheckVelocity (line 296) In PowerRules (line 121) In run (line 112) In SmokeTests/SmokeRun (line 79)] Please review the rules for computing derivatives of polynomials. Then fix the answer and resubmit. That is not correct. Please review what you know about graphical derivatives and try again. Your answers are incorrect. Please note that they need to be exact values so it may be easiest to work in terms of g, v0, and h0. Remember that the velocity is zero at the apex. How can you use that to find the time? Once you know the time, how can you find the height at that time? Please check your work and resubmit your solutions. Values initialized for Power and Linearity Rule Practice. Take the derivative with respect to: x of the function f(x) == -3/x^8 When simplified, this function is: r That is incorrect. The correct answer is: correctAnswer = 24/x^9 Please try again with a new problem. The overall success rate is 0.0% on 1 total problems Please do at least five problems. [Terse] Diagnostic logged (2025-10-03 22:11:17): Figure saved to: --> /tmp/82d5ef81-215f-4f94-86c5-21ec0bc9abe6/Figure_de8f1e71-a43b-4b17-96a9-cd38f871f888.png [Terse] Diagnostic logged (2025-10-03 22:11:23): Figure saved to: --> /tmp/82d5ef81-215f-4f94-86c5-21ec0bc9abe6/Figure_b9f0a67c-e5c2-47c2-9944-c28536dcc394.png .>> Running TaylorPolynomials.mlx f(x) == x^2*sin(x) - x*cos(x) x_0 == pi/2 f(x) == x^2*sin(x) - x*cos(x) df/dx == - cos(x) + x^2*cos(x) + 3*x*sin(x) f(pi/2) == pi^2/4 df/dx == (3*pi)/2 P_1 == pi^2/4 + (pi*3*(x - pi/2))/2 P_1 == (pi*3*x)/2 - pi^2/2 f(2.0708) - P_0(2.0708) = 2.2886 f(2.0708) - P_1(2.0708) = -0.067556 f(x) == 9*exp(-3*x) x_0 == -7 You have an incorrect value for f(-7) You have an incorrect value for f'(-7) Your solution for the tangent line is incorrect. Please try again. You have an incorrect value for f(0) You have an incorrect value for f'(0) You have an incorrect value for the quadratic term, a. Your solution for the quadratic is incorrect. Please try again. Your solution for part a) is incorrect. Please try a) again. Your solution for part b) is incorrect. Please try b) again. Your solution for part c) is incorrect. Please try c) again. Division by zero. Division by zero. No, that is not the correct solution. Please try again. You probably want to check your derivatives and your signs. P_n(x) == sin(1)*(x + 1)^2 - (sin(1)*(x + 1)^4)/3 + cos(1)*(x + 1) - (2*cos(1)*(x + 1)^3)/3 [Terse] Diagnostic logged (2025-10-03 22:11:35): Figure saved to: --> /tmp/82d5ef81-215f-4f94-86c5-21ec0bc9abe6/Figure_b943d1ff-2226-4d7f-b6b1-4d69c4b0280a.png .>> Running TranscendentalsRules.mlx Incorrect. What other sinusoidal functions do you know? Incorrect. Try to find a better fit. You need to set values for the units of g and the units of y to complete Exercise 3. It is possible to determine the units of the derivative. [Warning: You need to generate the problem in Exercise 3 before you can solve it.] [> In TranscendentalsRules (line 185) In run (line 112) In SmokeTests/SmokeRun (line 79)] Please check your derivatives. One of these functions does not work and three of them do. Why? Correct! All functions of the form a^x for constant a and variable x have derivatives that are multiples of the original, but only for e^x is that multiple 1. You can do better than that. The answer is a familiar type of function. [Terse] Diagnostic logged (2025-10-03 22:11:59): Figure saved to: --> /tmp/82d5ef81-215f-4f94-86c5-21ec0bc9abe6/Figure_668212f3-39f4-4f31-b775-5c2cd65155fc.png [Terse] Diagnostic logged (2025-10-03 22:12:26): Figure saved to: --> /tmp/82d5ef81-215f-4f94-86c5-21ec0bc9abe6/Figure_ca805bee-4186-4a2a-b2c2-a683a3fd4495.png [Terse] Diagnostic logged (2025-10-03 22:12:26): Figure saved to: --> /tmp/82d5ef81-215f-4f94-86c5-21ec0bc9abe6/Figure_6943a410-96d9-4975-9b6d-61fd557162f9.png [Terse] Diagnostic logged (2025-10-03 22:12:27): Figure saved to: --> /tmp/82d5ef81-215f-4f94-86c5-21ec0bc9abe6/Figure_5cfc60e5-572b-4f99-b4b5-c3c8b04e1e20.png [Terse] Diagnostic logged (2025-10-03 22:12:27): Figure saved to: --> /tmp/82d5ef81-215f-4f94-86c5-21ec0bc9abe6/Figure_36abf321-de8b-46a6-b1a5-76068fd8ed5f.png [Terse] Diagnostic logged (2025-10-03 22:12:28): Figure saved to: --> /tmp/82d5ef81-215f-4f94-86c5-21ec0bc9abe6/Figure_38c9f7d2-2e2a-4c5d-81b0-46aaf782c453.png [Terse] Diagnostic logged (2025-10-03 22:12:28): Figure saved to: --> /tmp/82d5ef81-215f-4f94-86c5-21ec0bc9abe6/Figure_4a424e77-7430-4d16-b755-d0df4fda58f2.png [Terse] Diagnostic logged (2025-10-03 22:12:29): Figure saved to: --> /tmp/82d5ef81-215f-4f94-86c5-21ec0bc9abe6/Figure_96757fef-b95f-4630-95b9-84b39d5b9802.png [Terse] Diagnostic logged (2025-10-03 22:12:29): Figure saved to: --> /tmp/82d5ef81-215f-4f94-86c5-21ec0bc9abe6/Figure_57c2480e-87fb-4fe2-b828-5a77bd325c1f.png [Terse] Diagnostic logged (2025-10-03 22:12:30): Figure saved to: --> /tmp/82d5ef81-215f-4f94-86c5-21ec0bc9abe6/Figure_25027bcc-6791-46fe-977a-6f9829d15f61.png [Terse] Diagnostic logged (2025-10-03 22:12:30): Figure saved to: --> /tmp/82d5ef81-215f-4f94-86c5-21ec0bc9abe6/Figure_21802085-2117-4ec2-8c98-894645d60a43.png [Terse] Diagnostic logged (2025-10-03 22:12:30): Figure saved to: --> /tmp/82d5ef81-215f-4f94-86c5-21ec0bc9abe6/Figure_681bf457-8af1-49a9-8ec8-c6f4dc73b1fa.png [Terse] Diagnostic logged (2025-10-03 22:12:31): Figure saved to: --> /tmp/82d5ef81-215f-4f94-86c5-21ec0bc9abe6/Figure_de317411-9be8-48b0-af11-61ebb631aa84.png [Terse] Diagnostic logged (2025-10-03 22:12:31): Figure saved to: --> /tmp/82d5ef81-215f-4f94-86c5-21ec0bc9abe6/Figure_a6db1505-3337-4a38-8889-7b17ec803cbb.png [Terse] Diagnostic logged (2025-10-03 22:12:32): Figure saved to: --> /tmp/82d5ef81-215f-4f94-86c5-21ec0bc9abe6/Figure_0c8072b1-3360-469f-8e5c-e59b5f1a76e5.png . Done SmokeTests __________ Running FunctionTests . Done FunctionTests __________ Running SolnSmokeTests .....>> Running CombinationRulesSoln.mlx The original functions are: f(x) == x^3 g(x) == - (2*x)/5 + 2 Combining the functions through composition: f(g(x)) == -((2*x)/5 - 2)^3 Therefore, g(-5) == 4 and f(g(-5)) == 64 The answer to Exercise 1.1 is: omega(t) == -theta_0*sin(t*(g/L)^(1/2))*(g/L)^(1/2) The answer to Exercise 1.2 is: t_0 == (pi/(g/L)^(1/2))*[s] theta(t_0) == -theta_0 The pendulum will stop at the same angle that it was released from, but on the other side! Any time the pendulum reaches this angle (the maximum angle), it should be at rest. The answer to Exercise 1.3 is: alpha(t) == -(g*theta_0*cos(t*(g/L)^(1/2)))/L Exercise 2.1. Is correct. theta == ((135*pi)/2)*[rad] Exercise 2.2. Is correct. dr/(d*theta) == -(7/80)*([in]/[rad]) Exercise 2.3. Is correct. dr/dt == (dr/(d*theta))*((d*theta)/dt) (d*theta)/dt == ((3*pi)/2)*([rad]/[s]) dr/dt == -((21*pi)/160)*([in]/[s]) [Terse] Diagnostic logged (2025-10-03 22:12:53): Figure saved to: --> /tmp/82d5ef81-215f-4f94-86c5-21ec0bc9abe6/Figure_fd842d91-9ee2-47a7-87be-c1a24f72b490.png [Terse] Diagnostic logged (2025-10-03 22:13:01): Figure saved to: --> /tmp/82d5ef81-215f-4f94-86c5-21ec0bc9abe6/Figure_0b023ae4-25d2-4c4e-baaf-aab9972c595c.png [Terse] Diagnostic logged (2025-10-03 22:13:01): Figure saved to: --> /tmp/82d5ef81-215f-4f94-86c5-21ec0bc9abe6/Figure_a0d55e08-41d0-47cf-b799-b52332bf72eb.png [Terse] Diagnostic logged (2025-10-03 22:13:02): Figure saved to: --> /tmp/82d5ef81-215f-4f94-86c5-21ec0bc9abe6/Figure_91d019eb-7fb3-436b-a215-e1c33591389d.png .>> Running DefinitionSoln.mlx Observe the fact that the minimal value of the maximal couch length occurs when the rate of change of the maximal couch length is 0. f(x) = x^3 h == -5 f(x_1 + h) - f(x_1) == f(-4) - f(1) f(x_1 + h) - f(x_1) == (-64) - 1 (f(x_1 + h) - f(x_1))/h == 13 g(x) = exp(x)*cos(x) + x^2 Correct. The slope at x = -3 is negative. Correct. Correct. Correct. Correct. Correct. Correct. Correct. [Terse] Diagnostic logged (2025-10-03 22:13:12): Figure saved to: --> /tmp/82d5ef81-215f-4f94-86c5-21ec0bc9abe6/Figure_91ea7b63-24be-4ab5-9fb7-fdaa6c4d3b3b.png [Terse] Diagnostic logged (2025-10-03 22:13:22): Figure saved to: --> /tmp/82d5ef81-215f-4f94-86c5-21ec0bc9abe6/Figure_9dbae59e-f0cd-4572-8fef-a82e6e4a71cc.png [Terse] Diagnostic logged (2025-10-03 22:13:22): Figure saved to: --> /tmp/82d5ef81-215f-4f94-86c5-21ec0bc9abe6/Figure_2f6fcd81-517b-475d-8f70-e2382c31aa9e.png [Terse] Diagnostic logged (2025-10-03 22:13:22): Figure saved to: --> /tmp/82d5ef81-215f-4f94-86c5-21ec0bc9abe6/Figure_9797ae72-0042-4168-bb52-7725843ff3f7.png [Terse] Diagnostic logged (2025-10-03 22:13:23): Figure saved to: --> /tmp/82d5ef81-215f-4f94-86c5-21ec0bc9abe6/Figure_f9ad8138-2f8d-47bd-846d-6b188f0cdccd.png [Terse] Diagnostic logged (2025-10-03 22:13:23): Figure saved to: --> /tmp/82d5ef81-215f-4f94-86c5-21ec0bc9abe6/Figure_385547fd-adb1-4101-95ab-bc7c8b388e9d.png [Terse] Diagnostic logged (2025-10-03 22:13:24): Figure saved to: --> /tmp/82d5ef81-215f-4f94-86c5-21ec0bc9abe6/Figure_e8500805-3774-49f5-9641-3a48d875aa8c.png [Terse] Diagnostic logged (2025-10-03 22:13:24): Figure saved to: --> /tmp/82d5ef81-215f-4f94-86c5-21ec0bc9abe6/Figure_14dbf651-e961-4574-9039-4903c38304f9.png .>> Running PowerRulesSoln.mlx My answer is: dy/dx == 3*x^2 That is correct. n = 6 f(x + h) == (h + x)^6 f(x + h) == 6*h*x^5 + 6*h^5*x + h^6 + x^6 + 15*h^2*x^4 + 20*h^3*x^3 + 15*h^4*x^2 (f(x + h) - f(x))/h == (6*h*x^5 + 6*h^5*x + h^6 + 15*h^2*x^4 + 20*h^3*x^3 + 15*h^4*x^2)/h (f(x + h) - f(x))/h == 15*h*x^4 + 6*h^4*x + h^5 + 6*x^5 + 20*h^2*x^3 + 15*h^3*x^2 df/dx == limit((f(x + h) - f(x))/h, h, 0) df/dx == limit(15*h*x^4 + 6*h^4*x + h^5 + 6*x^5 + 20*h^2*x^3 + 15*h^3*x^2, h, 0) df/dx == 6*x^5 Good work! The power rule is f'(x) = n*x^(n-1). n = 0.5000 order = 5 f(x) = x^(1/2) f(x + h) == - h/(8*x^(3/2)) + 1/(2*x^(1/2)) + h^2/(16*x^(5/2)) - (5*h^3)/(128*x^(7/2)) df/dx == limit((f(x + h) - f(x))/h, h, 0) df/dx == limit(- h/(8*x^(3/2)) + 1/(2*x^(1/2)) + h^2/(16*x^(5/2)) - (5*h^3)/(128*x^(7/2)), h, 0) df/dx == 1/(2*x^(1/2)) 3.1. ans1 = 2*x 3.2. ans2 = -2*x 3.3. ans3 = 1/(2*x^(1/2)) 3.4. ans4 = 0 Note: This can be thought of as a power rule in terms of x^0, but it is sometimes called the Constant Rule. The derivative of any constant is zero! 4.1. 3*x^2 + 2*x 4.2. - 2/x - 4*x^3 4.3. 1/(2*x^(1/2)) - 1/(2*x^(3/2)) 4.4. 2*x^2 4.5. 21*x^2 - 24*x + 3 On Saturn the acceleration due to gravity is 11.08m/s^2. Correct. Correct! Correct. Note: As a theme in calculus, you can replace some of the specific formulas you memorized in the past with general rules from calculus that allow you to quickly compute solutions. [Terse] Diagnostic logged (2025-10-03 22:13:27): Figure saved to: --> /tmp/82d5ef81-215f-4f94-86c5-21ec0bc9abe6/Figure_cefe4057-4998-411b-a1e1-e03686c06ccc.png [Terse] Diagnostic logged (2025-10-03 22:13:33): Figure saved to: --> /tmp/82d5ef81-215f-4f94-86c5-21ec0bc9abe6/Figure_2687feec-62f9-44cd-a12b-82df1d3186dc.png .>> Running TaylorPolynomialsSoln.mlx f(x) == x^2*sin(x) - x*cos(x) x_0 == pi/2 f(x) == x^2*sin(x) - x*cos(x) df/dx == - cos(x) + x^2*cos(x) + 3*x*sin(x) f(pi/2) == pi^2/4 df/dx == (3*pi)/2 P_1 == pi^2/4 + (pi*3*(x - pi/2))/2 P_1 == (pi*3*x)/2 - pi^2/2 f(2.0708) - P_0(2.0708) = 2.2886 f(2.0708) - P_1(2.0708) = -0.067556 You have the correct value for f(0) You have the correct value for f'(0) You have the correct value for the quadratic term, a. Your solution for the quadratic approximation is correct. P5f(x) = x^5/120 - x^3/6 + x P4g(x) = 3*x^2 - 2*x + 7 P3h(x) = x - (x - 1)^2/2 + (x - 1)^3/3 - 1 Your solution for part a) is correct. Your solution for part b) is correct. Your solution for part c) is correct. Pn(x) = x/2 - (- 2 + x)^2/8 + (- 2 + x)^3/24 - (- 2 + x)^4/64 - 2763884486575633/9007199254740992 You have correctly solved the problem. P_n(x) == sin(1)*(x + 1)^2 - (sin(1)*(x + 1)^4)/3 + cos(1)*(x + 1) - (2*cos(1)*(x + 1)^3)/3 P_n(x) == sin(1)*(x + 1)^2 - (sin(1)*(x + 1)^4)/3 + (2*sin(1)*(x + 1)^6)/45 - (sin(1)*(x + 1)^8)/315 + (2*sin(1)*(x + 1)^10)/14175 - (2*sin(1)*(x + 1)^12)/467775 + cos(1)*(x + 1) - (2*cos(1)*(x + 1)^3)/3 + (2*cos(1)*(x + 1)^5)/15 - (4*cos(1)*(x + 1)^7)/315 + (2*cos(1)*(x + 1)^9)/2835 - (4*cos(1)*(x + 1)^11)/155925 + (4*cos(1)*(x + 1)^13)/6081075 [Terse] Diagnostic logged (2025-10-03 22:13:44): Figure saved to: --> /tmp/82d5ef81-215f-4f94-86c5-21ec0bc9abe6/Figure_0a9fea17-3376-40b6-8f14-7458d265c6f8.png .>> Running TranscendentalsRulesSoln.mlx That is correct. This cannot be a polynomial because it does not have the correct limiting behavior. Correct. The derivative does not have any asymptotes. Yes, this derivative is periodic. Please set the correct period and amplitude: The period is correct. The amplitude is 1, that is correct. Correct. Correct. It is more common to write -sin(t), however. If n = 5, then the nth (fifth) derivative of g with respect to y has units of: Option 1: C/m Option 2: C/m^2 Option 3: C/m^3 Option 4: C/m^4 Option 5: C/m^5 The units of the nth derivative of g(y) are: Option 5 Correct! Correct! Any linear combination of sines and cosines will be a solution to this differential equation. Correct! All functions of the form a^x for constant a and variable x have derivatives that are multiples of the original, but only for e^x is that multiple 1. That is correct. This cannot be a polynomial because it does not have the correct limiting behavior. Yes, there is a horizontal asymptote. Adjust the horizontal asymptote to the correct value: That is correct, the horizontal asymptote is at y=0. That is correct. This derivative is not periodic. Yes, the derivative of a logarithm is a rational function. General model Rat33: fnFit(x) = (p1*x^3 + p2*x^2 + p3*x + p4) / (x^3 + q1*x^2 + q2*x + q3) Coefficients (with 95% confidence bounds): p1 = 6.762e-08 (1.501e-08, 1.202e-07) p2 = 1 (1, 1) p3 = 0.0004166 (-0.001428, 0.002261) p4 = -1.755e-06 (-2.358e-06, -1.151e-06) q1 = 0.0004166 (-0.001428, 0.002261) q2 = -3.836e-06 (-4.442e-06, -3.23e-06) q3 = -8.873e-10 (-4.644e-09, 2.87e-09) The best fit of this type has an SSE of 1.4657e-09 and an r^2 of 1. Good fits have an SSE near 0 and an r^2 near 1. What do you think? In fact, the derivative of ln(t) is 1/t. [Terse] Diagnostic logged (2025-10-03 22:14:33): Figure saved to: --> /tmp/82d5ef81-215f-4f94-86c5-21ec0bc9abe6/Figure_813b0b0e-ff45-44aa-8a9f-e4fd9d501c28.png [Terse] Diagnostic logged (2025-10-03 22:14:38): Figure saved to: --> /tmp/82d5ef81-215f-4f94-86c5-21ec0bc9abe6/Figure_5e0ffe2a-3949-4c82-bd01-9e06c6a98bbe.png [Terse] Diagnostic logged (2025-10-03 22:14:39): Figure saved to: --> /tmp/82d5ef81-215f-4f94-86c5-21ec0bc9abe6/Figure_32aa9fee-d75b-4139-921f-f623ef9b0c0e.png [Terse] Diagnostic logged (2025-10-03 22:14:39): Figure saved to: --> /tmp/82d5ef81-215f-4f94-86c5-21ec0bc9abe6/Figure_1656f75d-8f05-4dde-8aae-964c97963ec2.png [Terse] Diagnostic logged (2025-10-03 22:14:40): Figure saved to: --> /tmp/82d5ef81-215f-4f94-86c5-21ec0bc9abe6/Figure_6b7db820-235a-441d-8c10-3718ccccddcf.png [Terse] Diagnostic logged (2025-10-03 22:14:40): Figure saved to: --> /tmp/82d5ef81-215f-4f94-86c5-21ec0bc9abe6/Figure_1839dad1-0752-419a-9672-30b528853d06.png [Terse] Diagnostic logged (2025-10-03 22:14:41): Figure saved to: --> /tmp/82d5ef81-215f-4f94-86c5-21ec0bc9abe6/Figure_aa12aeb9-b819-486f-8159-e88f9188401e.png [Terse] Diagnostic logged (2025-10-03 22:14:41): Figure saved to: --> /tmp/82d5ef81-215f-4f94-86c5-21ec0bc9abe6/Figure_8be480bf-bbc2-495b-bfcd-f30f912f26ad.png [Terse] Diagnostic logged (2025-10-03 22:14:42): Figure saved to: --> /tmp/82d5ef81-215f-4f94-86c5-21ec0bc9abe6/Figure_29b1dbb6-b9e7-4e96-a125-70bcf6058dea.png [Terse] Diagnostic logged (2025-10-03 22:14:42): Figure saved to: --> /tmp/82d5ef81-215f-4f94-86c5-21ec0bc9abe6/Figure_ef36a253-d8c6-4c55-8b54-f496bd0b3357.png [Terse] Diagnostic logged (2025-10-03 22:14:43): Figure saved to: --> /tmp/82d5ef81-215f-4f94-86c5-21ec0bc9abe6/Figure_af41b76a-99de-4e61-9443-1daa9fd76344.png [Terse] Diagnostic logged (2025-10-03 22:14:43): Figure saved to: --> /tmp/82d5ef81-215f-4f94-86c5-21ec0bc9abe6/Figure_b4990446-a1e9-45d8-8895-366c9d7a1b87.png [Terse] Diagnostic logged (2025-10-03 22:14:44): Figure saved to: --> /tmp/82d5ef81-215f-4f94-86c5-21ec0bc9abe6/Figure_0faadc3e-737d-44cd-a2ea-fd41357a521b.png [Terse] Diagnostic logged (2025-10-03 22:14:44): Figure saved to: --> /tmp/82d5ef81-215f-4f94-86c5-21ec0bc9abe6/Figure_bf1aa7e0-47f9-4607-87f1-5df1e2d2772f.png [Terse] Diagnostic logged (2025-10-03 22:14:45): Figure saved to: --> /tmp/82d5ef81-215f-4f94-86c5-21ec0bc9abe6/Figure_fa704f47-1b25-4f26-825d-e604c861b0de.png [Terse] Diagnostic logged (2025-10-03 22:14:45): Figure saved to: --> /tmp/82d5ef81-215f-4f94-86c5-21ec0bc9abe6/Figure_783a82d6-d174-4615-ab70-fd3a604c7229.png [Terse] Diagnostic logged (2025-10-03 22:14:45): Figure saved to: --> /tmp/82d5ef81-215f-4f94-86c5-21ec0bc9abe6/Figure_6a155a57-e38a-443e-886b-2d8170c5a383.png . Done SolnSmokeTests __________